Olimpiada de Biologie – etapa județeană (rezultate după contestații)

Olimpiada de Biologie – etapa județeană (rezultate după contestații).

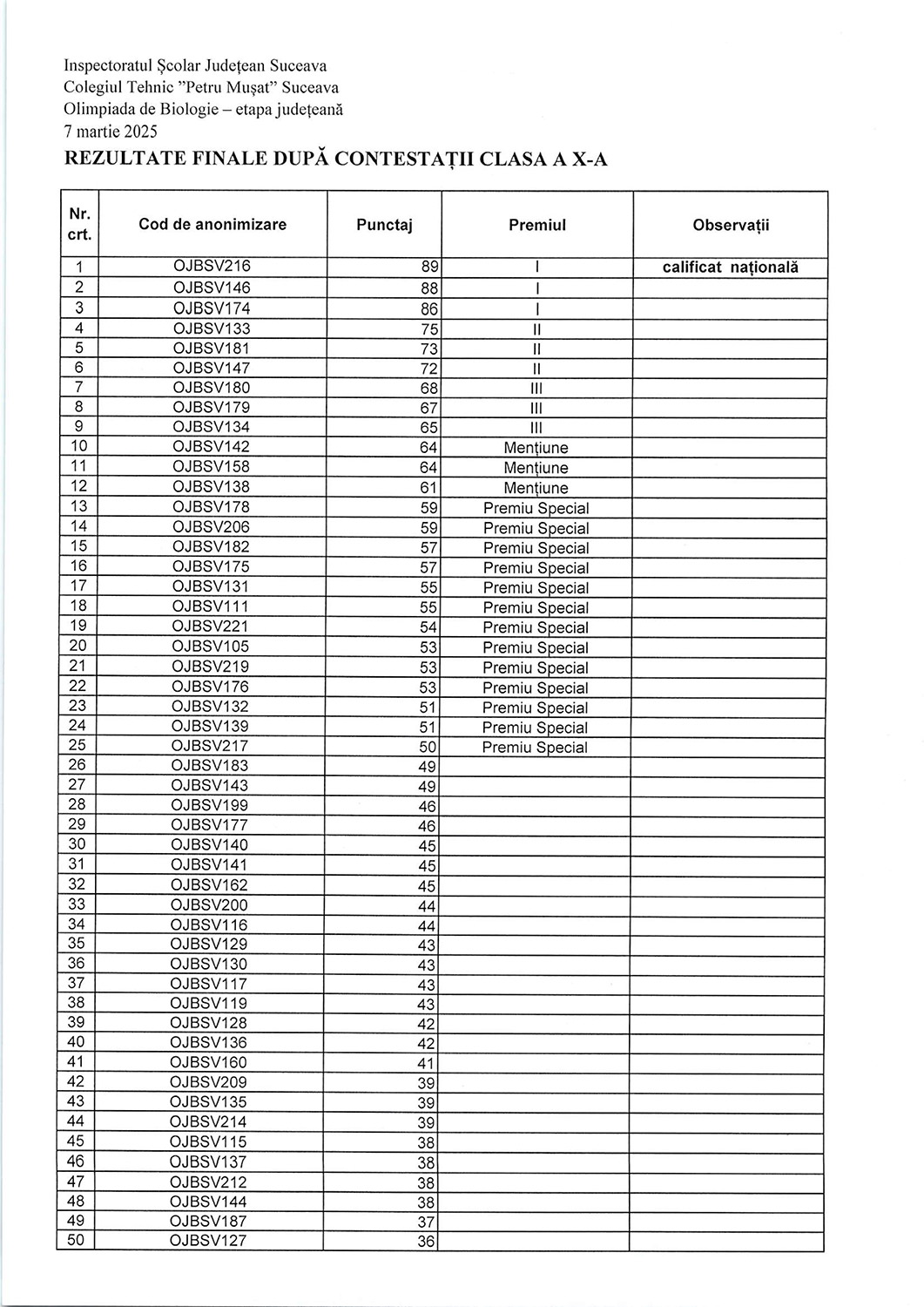
Olimpiada de Biologie - etapa județeană (rezultate după contestații)

Olimpiada de Biologie - etapa județeană (rezultate după contestații)

Olimpiada de Biologie - etapa județeană (rezultate după contestații)

Olimpiada de Biologie - etapa județeană (rezultate după contestații)

Olimpiada de Biologie - etapa județeană (rezultate după contestații)

Scroll to Top
Sari la conținut