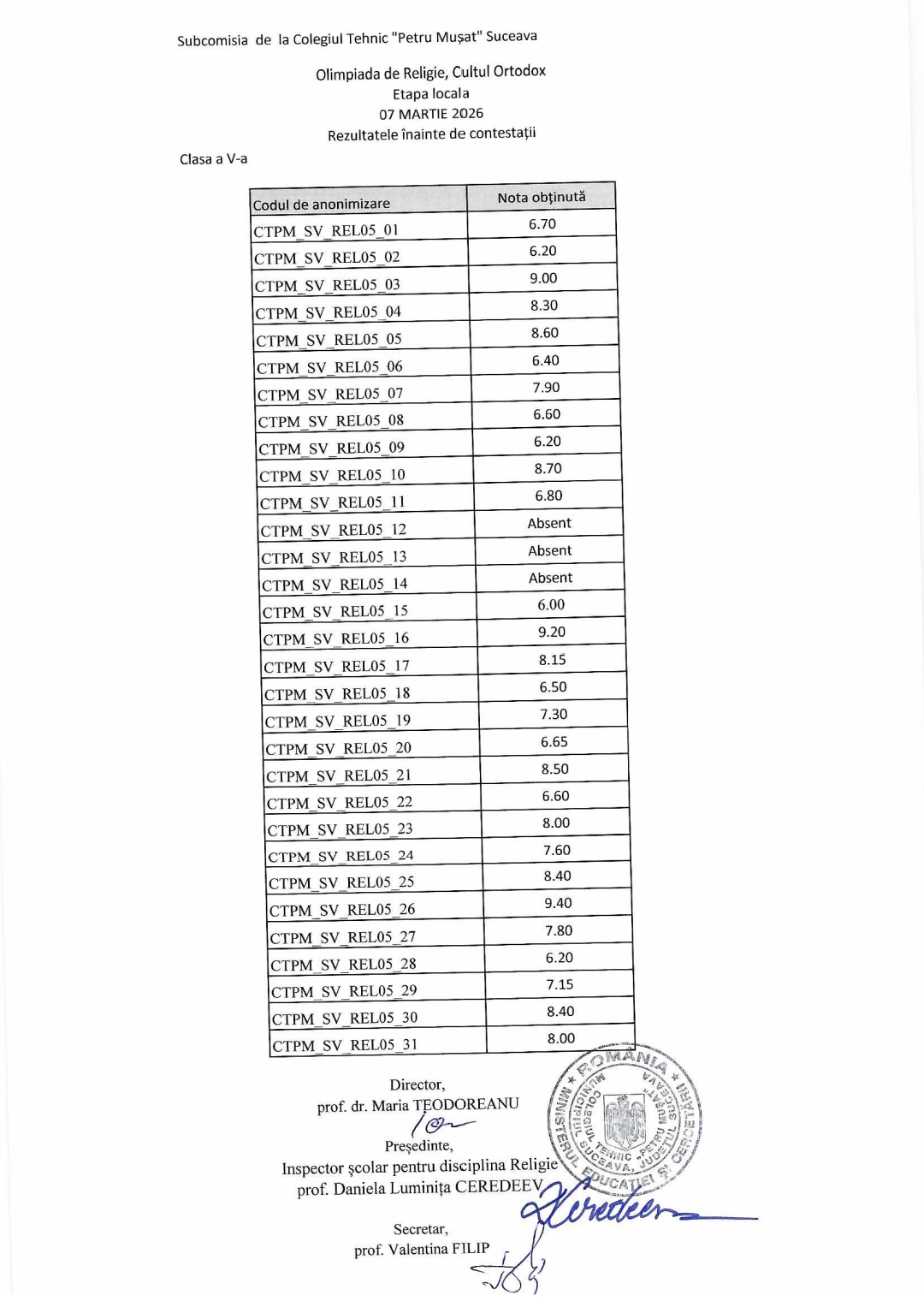
Olimpiada de Religie, Cultul Ortodox – etapa locală (rezultate înainte de contestații)

Olimpiada de Religie, Cultul Ortodox – etapa locală (rezultate înainte de contestații).

Scroll to Top
Sari la conținut